网站首页  词典首页


请输入您要查询的字词:

 

字词 振动输送机
类别 中英文字词句释义及详细解析
释义 振动输送机

振动输送机(又称簸送机,见图6-32)的主体。

A=3600·B·H·v·γ·K(吨/小时)

式中 B——振槽宽度(米)

H——糖层高度(米)

v——糖层前进速度(米/秒)

γ——砂糖重度(吨/米3)

K——不均衡系数

糖层前进速度计算

v=0.21·R·n·f·tgα(米/秒)

式中 R——曲柄半径(米)

n——曲柄转数(转/分)

f——摩擦系数,砂糖为0.3

α——摇臂对垂直线的角度

振动输送机

振动输送机(又称簸送机,见图6-32)的主体为一宽的平槽,由弹性支腿(摇臂)支撑;支腿与水平向约成70°角。它的最大优点为对糖的磨损较少,适宜用于砂糖输送。

1.生产能力计算

G=3600BHvγ

式中 G——输送砂糖量(吨/时)

B——槽宽(米)

H——槽中糖层厚度,一般为0.05(米)

γ——砂糖容重,为0.8(吨/米)

v——砂糖沿槽平面移动速度(米/秒)一般取为0.15~0.21米/秒,或按下式算出

v=0.21nRftgα(米/秒)

式中 n——传动曲柄转速,一般为250~500转/分

R——曲柄半径,通常为0.01~0.025米

f——糖对槽的摩擦系数,取0.3

α——静止时弹性支腿对垂线的倾斜角,通常为16~20°

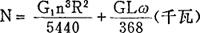
2.功率消耗

式中 G1——振动部分重量,可取为0.12~0.15(吨/米)

n——曲柄转速,250~500(转/分)

R——曲柄半径,0.010~0.025(米)

G——输送的砂糖量(吨/时)

L——输送机长度(米)

ω——系数,当α为16~20°时,ω为0.67~0.53

3.曲柄半径与转速间的关系(见表6-66)

表6-66 曲柄半径与转速关系

4.振动输送机的规格

制糖设备系列化后,振动输送机规格(以槽宽计,毫米)定为三种:800,1000,1200。

表6-67为正常情况下三种振动输送机的性能。

表6-67 三种振动输送机不同长度下的输送量、自重及耗用功率

注:W=设备自重(吨),N=设备耗用功率(千瓦)

随便看

 

离鸟网收录3541549条中英文词条,其功能与新华字典、现代汉语词典、牛津高阶英汉词典等各类中英文词典类似,基本涵盖了全部常用中英文字词句的读音、释义及用法,是语言学习和写作的有利工具。

 

Copyright © 2004-2024 vtrois.com All Rights Reserved
更新时间:2026/4/18 2:14:09