网站首页  词典首页


请输入您要查询的字词:

 

字词 按给定函数关系设计
类别 中英文字词句释义及详细解析
释义 按给定函数关系设计

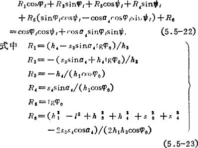
按给定的主动杆与从动杆转角间的函数关系设计空间四杆机构,在方法上与设计平面四杆机构相似。现以已经预先选定a4的RSSR四杆机构为例,为了增多可供设计的机构参数,可引进输入初始角φ0(也可同时引进输出初始角ψ0)。在式(5.5-3)中,以θ10t和θ3j代入,并重新整理成如下形式:

式(5.5-22)作为机构设计方程式来说,有六个未知量R1、R2、……R6,所以按预定的函数关系设计时,可以选取六个插值点来精确实现六组输入输出值φj、ψj(i=1,2,……6)。将这些输入输出值代入式(5.5-22)可得六个线性方程式,把未知量R1、R2、……R6解出后,再利用式(5.5-23)便可求出下列设计参数:

以上各式中,h4可以取为1或其它合适的数值。

附录 空间连杆机构运动分析有关专著

1.张启先编著 空间机构的分析与综合北京机械工业出版社1984

2.黄真编著,空间机械学,北京机械工业出版社,1991年

3.牧野洋著 自动机械机构学,东京日刊工业新闻社.1976年

4.J.Denavit,R.S.Hartenberg,A Kinematic Notation for Lower Pair MeChanisms Based On Matrices,Trans,ASME(E),Vol.77,No.2,1955,Pp.215~221.

5.R.S.Hartenberg,J.Denavit.Kinematic Syn thesis of Linkages,Mc Graw-Hill,1964,

6.J.Denavit.Displacement Analy sis of Mechanisms Based on 2×2 Matrices of Dual Numbers.VDl Berichte.Bd 29,1958,Pp.81~89.

7.A.T.Yang,F.Freudenstein,Application of Dual Number Quaternion Algebra to the Analysis of Spatial Mechanisms,Trans.ASME(E),Vo1.86,No.2,1964,pP.300~308.

8.G.R.Veldkamp.On the Use of Dual Numbers,Vectors and Matrices in Instantaneous SpatiCal Kinematics,MMT.Vo1.11,No.2.1976,PP.141~156.

9.K.H.Hunt,Screw Axes and Mobility in Spatial Mechanisms via the Linear Comoplex,J.Mech,Vo1.2,No.3,1967,pp307-327.

10.Φ.M.диMeнTбepг,Общий MeToд иccлeдoBaния Кoнeчных ПepeMeщeний ПpocTpaнCTBeнныХ MeхaHи3Mов и НeкoTopыe слHчaH лaCCивыX cвя3eй,Tpyды ceMиHap TMM,ToM5,Выn.17,1948,CTp.5~39。

随便看

 

离鸟网收录3541549条中英文词条,其功能与新华字典、现代汉语词典、牛津高阶英汉词典等各类中英文词典类似,基本涵盖了全部常用中英文字词句的读音、释义及用法,是语言学习和写作的有利工具。

 

Copyright © 2004-2024 vtrois.com All Rights Reserved
更新时间:2026/4/20 2:56:11