按强度条件确定管道跨度的计算
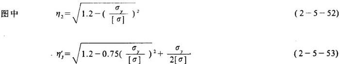
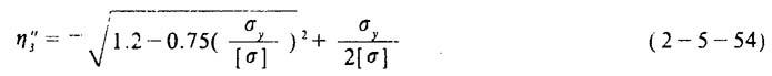
[说明]管道断面上的最大应力不得超过管材的许用应力,以保证管道的强度安全。根据这一原则所确定的管道允许跨度为按强度条件确定管道的跨度。参考图2-5-36。 a-连续敷设的直管 b-端头管道 c-水平弯管 1.对连续敷设的直管跨度计算(图2-5-36a) [σ]——管子材料的许用应力(Pa),见表2-5-25及表2-5-26 表2-5-25 常用钢管的许用应力[σ](kg/mm2)  注: ❶ 表内带括号的数值供参考; ❷ 抗拉强度、屈服极限的单位为kg/mm2; ❸ 1kg/mm2=9.8×106Pa 表2-5-26 铜、铝、铅管及塑料管材的许用应力[σ](kg/mm2)  注:1kg/mm↗↗2↖↖=9.8×10↗↗6↖↖Pa W——管子抗弯截面系数(m3) φ——管道横向焊缝系数 q——管道单位长度计算重力(N/m)   式中 η3′——用于许用拉应力 η3″——用于许用压应力 σc——由内压力引起的管壁折算应力(Pa)  P0——管内介质操作压力(Pa) D——管道外径(m) S——管壁厚度(m) [σ]——管子材料许用应力(Pa),见表2-5-25和表2-5-26 2.对端头弯管(图2-5-36b)  式中符号含义及单位同上式2-5-51 3.对水平弯管(图2-5-36c)  式中符号含义及单位同上2-5-51 4.对于管径大于Φ600mm的管道还要考虑风载荷所引起的应力  式中 H——风速度头(Pa) K——空气动力系数,一般取0.7 DH——管道保温后的外直径(m) 其它同上 5.简化计算方法 [说明]对于计算要求不十分严格,管壁温度在200℃以内的中、低压管道,对A3、16Mn、10号、20号等一般管材,将上述式中的一些值取常用值,可进行简化计算。  式中 W——管子抗弯截面模数(m3)  DW、DN——管子的外径和内径(m3) q——管道单位长度计算重力(N/m) |