按刚度条件确定管道的跨度计算
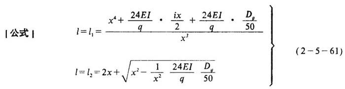
[说明]如图2-5-38所示,管道在一定的跨度下总有一定挠度,根据对挠度的限制所确定的管道允许跨度,称作按刚度条件确定跨度。 1.当管道允许挠度fmax=0.1Dg时其允许跨度的计算 [说明]用试差法解下列方程组,直至l1=l2为止。  式中 l、l1、l,——管道的允许跨度(m) x——管架到管道最大挠曲面的距离(m) q——管道单位长度重量(N/m) EI——管道的刚度(N·m2) E——管材的弹性模量(Pa),钢材E=2×1011Pa I——管子的断面惯性矩(m4)  Da——管道的公称直径(m) i——管道的坡度,一般取0.002~0.005 其它同上 [讨论]目前有些工程已取消坡度,取i=0,对应于fmax的x值确定为 ,当fmax=0.1Dg时,可用简化式计算。求解时逐次假定l值,代入下式右端,直到计算结果与假定值近似相等时,便认为所假定的l值为按刚度条件确定的允许跨度。简式为:  式中符号含义及单位均同上 2.对于严格不允许反坡的管道跨度计算 [说明]对于不允许反坡的管道(如输送特别粘的介质的管道,要求介质在管内完全自流的管道),采用此法计算。  式中 i——管道坡度 其它同上 3.简化计算法 [说明]对于管壁温度为200℃以内的一般中、低压管道,在计算要求不十分严格时,可用简化式计算。  式中符号含义及单位同上 |