网站首页  词典首页


请输入您要查询的字词:

 

字词 按二级反应计算反应速率常数和活化能
类别 中英文字词句释义及详细解析
释义 按二级反应计算反应速率常数和活化能

【说明】按二级反应的反应速率常数K值和反应活化能E值的计算可分三步进行(见实例)。

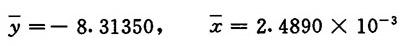
【公式】 根据式1-2-2和式1-2-3得:

计算得:

随便看

 

离鸟网收录3541549条中英文词条,其功能与新华字典、现代汉语词典、牛津高阶英汉词典等各类中英文词典类似,基本涵盖了全部常用中英文字词句的读音、释义及用法,是语言学习和写作的有利工具。

 

Copyright © 2004-2024 vtrois.com All Rights Reserved
更新时间:2026/4/19 14:20:11