网站首页  词典首页


请输入您要查询的字词:

 

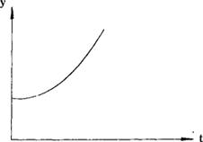
字词 指数曲线预测法
类别 中英文字词句释义及详细解析
释义 指数曲线预测法

指利用自变量与因变量之间的指数曲线式关系进行预测的方法。

其模式为:

Y=abt

式中:Y表示预测值;t表示自变量;a、b表示常量。

此模式可化为对数形式求解,即:

logY=loga+tlogb

指数曲线的图形如右。

当自变量与预测值之间的关系符合该模式时,就可利用该模式进行预测。

随便看

 

离鸟网收录3541549条中英文词条,其功能与新华字典、现代汉语词典、牛津高阶英汉词典等各类中英文词典类似,基本涵盖了全部常用中英文字词句的读音、释义及用法,是语言学习和写作的有利工具。

 

Copyright © 2004-2024 vtrois.com All Rights Reserved
更新时间:2026/4/21 19:09:54