指数平滑预测法
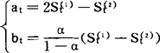
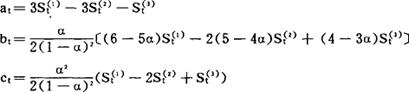
指通过求出平滑平均数,对给定的时间序列进行的一种预测方法。 其步骤为: (1)求一次指数平滑值,公式为:  式中: 表示第t期一次指数平滑值;α表示平滑系数,0<α<1; Xt表示时间序列第t期数值; 表示上期一次指数平滑值。 (2)求二次指数平滑值,公式为:  式中: 表示第t期二次指数平滑值。 (3)进行时间序列线性趋势预测,其预测模式为: Yt+T=at+btT 式中:Yt+T表示第t+T期的预测值;T表示第t期至预测期的期数;at、bt表示系数。 at、bt用下式计算:  若时间序列数据点的分布出现曲率时,还要计算三次指数平滑值,用三次指数平滑预测模式进行预测,即:  预测模式为: Yt+T=at+ +ctT2 式中:  指数平滑预测法是一种简便易行、运用最广的时间序列分析法。 一般地,一次指数平滑只适用无趋势的随机时间序列预测。二次、三次指数平滑值不能直接用来预测。 对于线性趋势时间序列用二次指数平滑值予以修正;非线性趋势时间序列用三次指数平滑值予以修正。 |