网站首页  词典首页


请输入您要查询的字词:

 

字词 指数函数的导数
类别 中英文字词句释义及详细解析
释义 指数函数的导数

(ex)′=ex,(ax)′=axlna.

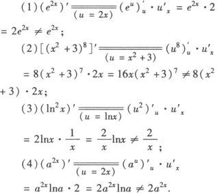
例1 下列函数求导数,正确的个数是( ).

(1)(e2x)′=e2x

(2)[(x2+3)8]′=8(x2+3)·2x;

(3)

(4)(a2x)′=2a2x

A.0 B.1

C.2 D.3

解 根据复合函数的求导法则,导数的四则运算法则、基本函数的导数公式,逐个计算所给四个函数的导数.

∴选A.

例2 求下列函数的导数.

(1)y=x3log3x;(2)y=cos2lnx;

(3)y=cosln2x;(4)y=coslnx2

解 以上各题是求关于初等函数的混合导数,不仅用到对数函数,指数函数的求导法则,还需注意复合函数的求导法则,如将y=coslnx2分解为y=cosu,u=lnv,v=x2利用复合函数的求导法则求导即可.

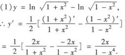
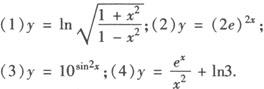
例3 求下列函数的导数

(2)y′=(2e)2xln(2e)·(2x)′

=2(2e)2x(ln2+1).

(3)y′=10sin2xln10·(sin2x)′

=108in2xln10·2sinxcosx.

=10sin2x·ln10·sin2x.

随便看

 

离鸟网收录3541549条中英文词条,其功能与新华字典、现代汉语词典、牛津高阶英汉词典等各类中英文词典类似,基本涵盖了全部常用中英文字词句的读音、释义及用法,是语言学习和写作的有利工具。

 

Copyright © 2004-2024 vtrois.com All Rights Reserved
更新时间:2026/4/21 19:11:09