网站首页  词典首页


请输入您要查询的字词:

 

字词 指数
类别 中英文字词句释义及详细解析
释义 指数

是一种综合指标,用以描述一组不同的但又有联系的变量的总的变化水平,从而能对这组变量在不同时期或不同场合所处的水平作出比较。

指数的种类很多,但常用的是数量指数(quantity index)和价格指数(price index)。下面分别介绍这两个指数。设P为价格向量,X为消费品向量:

其中,上标表示时期,0为第0期(基期),1为第一期,下标表示商品。

1.数量指数

指反映某些数量指标的变化水平的相对数。

如反映居民实际收入变化水平的指数。反映某种产品产量增长水平的指数。计算指数时需要对数据资料进行加权平均。数量指数的计算是以价格作为权数的,根据选择权数时期的不同,数量指数又分为两类:

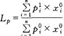
(1)拉斯贝耶斯数量指数(Laspeyres Quantity Index),它是以基期的价格作为权数的,其计算公式为:

(2)帕舍数量指数(Paasche Quantity Index),它是以第一期的价格作为权数的,其计算公式为:

2.价格指数

是比较一组价格在不同时期或地区的总水平变动的相对数。

它是以数量指标作为权数的。与数量指数一样,根据所选择的权数的时期的不同,也有两种价格指数:

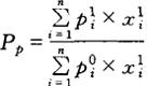
(1)拉斯贝耶斯价格指数(Laspeyres Price Index),它是以基期的数量指标作为权数的。其计算公式为:

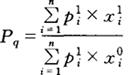
(2)帕舍价格指数(Paasche Price Index),它是以第一期的数量指标作为权数的。其计算公式为:

从上面的介绍可以看出,不管是对于数量指数还是价格指数,拉斯贝耶斯指数和帕舍指数的区别在于前者以基期指标为权数,而后者以第一期指标为权数。

但两者的区别并不尽限于此,事实上这两种指数提供的信息并不相同,相应用于不同的分析目的(H·范里安,1995,P.166~171)。而且它们都存在著一定的缺陷,还有待于改进。

参考文献:

林少宫、李楚霖,1993,《简明经济统计与计量经济》,上海人民出版社。

H·范里安,1995,《微观经济学:现代观点》,上海三联书店、上海人民出版社。

B.Curtis Eaton and Diane F.Eaton,1991,Microeconomics,W.H.Freeman and Company,New York.

约翰·伊特韦尔等编,1996,《新帕尔格雷夫经济学大辞典》,经济科学出版社。

随便看

 

离鸟网收录3541549条中英文词条,其功能与新华字典、现代汉语词典、牛津高阶英汉词典等各类中英文词典类似,基本涵盖了全部常用中英文字词句的读音、释义及用法,是语言学习和写作的有利工具。

 

Copyright © 2004-2024 vtrois.com All Rights Reserved
更新时间:2026/4/21 19:11:05