拉西地平
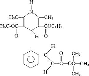
C26H33NO6=455.55 CAS-103890-78-4 (E)-4-[2-[3-(1,1-二甲基乙氧)-3-氧代-1-丙烯基]苯基]-1,4-二氢-2,6-二甲基-3,5-吡啶二羧酸二乙酯。 (E)-4-[2-[3-(1,1-Dimethylethoxy)-3-oxo-1-propenyl]phenyl]-1,4-dihydro-2,6-dimethyl-3,5-pyridinedicarboxylic acid,diethyl ester. 4-[邻-[(E)-2-羧乙烯基]苯基]-1,4-二氢-2,6-二甲基-3,5-吡啶二羧酸4-叔-丁基二乙酯。 4-[o-[(E)-2-Carboxyvinyl]phenyl]-1,4-dihydro-2,6-dimethyl-3, 5-pyridinedicarboxylic acid,4-tertbutyl diethyl ester. 血管扩张药,抗高血药。 Lacidipine,GR 43659X. INN,BAN,USAN.  |