网站首页  词典首页


请输入您要查询的字词:

 

字词 拉氧头孢二钠[中]
类别 中英文字词句释义及详细解析
释义 拉氧头孢二钠[中]

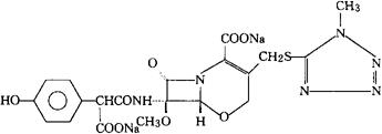
C20H18N6Na2O9S=564.44

CAS-64953-12-4

CAS-64952-97-2(moxalactam)

7-[[羧(4-代羟苯基)乙酰基]氨基]-7-甲氧基-3-[[(1-甲基-1H-四唑基-5)硫]甲基]-8-氧代-5-噁-1-氮杂双环[4.2.0]辛-2-烯-2-羧酸二钠盐。

7-[[Carboxy(4-hydroxyphenyl)acetyl]amino]-7-methoxy-3-[[(1-methyl-1H-tetrazol-5-yl)thio]methyl]-8-oxo-5-oxa-1-azabicy-clo[4.2.0]oct-2-ene-2-carboxylic acid,disodium salt.

N-[(6R,7R)-2-羧-7-甲氧-3-[[(1-甲基-1H-四唑-5-基)硫代]甲基]-8-氧-5-噁-1-氮杂双环[4.2.0]辛-2-烯-7-基]-2-(对羟苯基)丙酰胺酸二钠盐。

N-[[(6R,7R)-2-Carboxy-7-methoxy-3-[[(1-methyl-1H-tetrazol-5-yl)thio]methyl]-8-oxo-5-oxa1-azabicyclo[4.2.0]oct-2-en-7-yl]-2-(p-hydroxyphenyl)malonamic acid disodium salt.

抗感染药。用于大肠杆菌、克雷伯氏菌、沙雷氏菌等引起的败血症、脑膜炎、呼吸道感染、肝胆道感染、腹膜炎、尿路、生殖器官等严重感染。拉他头孢,氧杂头霉素二钠。

Moxalactam Disodium,Latamoxef Disodium,Moxam,Ly 129735,Lamoxactan Disodium.

静注,肌注用针剂。

INN & BAN(Latamoxef),USAN,USP(Moxalactam Disodum),MI.

随便看

 

离鸟网收录3541549条中英文词条,其功能与新华字典、现代汉语词典、牛津高阶英汉词典等各类中英文词典类似,基本涵盖了全部常用中英文字词句的读音、释义及用法,是语言学习和写作的有利工具。

 

Copyright © 2004-2024 vtrois.com All Rights Reserved
更新时间:2026/4/18 5:46:06