网站首页  词典首页


请输入您要查询的字词:

 

字词 拉格朗日插值法
类别 中英文字词句释义及详细解析
释义 拉格朗日插值法

是根据法国著名数学家、力学家拉格朗日所提出的插值多项式来进行统计推算的一种方法。

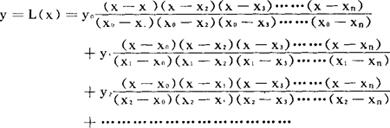
就是对某现象,如果已掌握其两位以上实际的对应资料(x0y0、x1y1、x2y2……)时,可运用此式计算对应于x点的未知数y的近似值。其插值多项式如下:

如某企业某种产品的产销量及其所对应取得盈利的资料如下:

如某化肥厂对某种正在试制的化肥进行肥效测验,所取得的资料如下表。

试推算施肥量,为每亩5公斤时,相应的某种农作物亩产量。可根据上表资料代入拉格朗日插值多项式来进行计算:

即当每亩施肥量为5公斤时,某种农作物的亩产量估计为520公斤。

随便看

 

离鸟网收录3541549条中英文词条,其功能与新华字典、现代汉语词典、牛津高阶英汉词典等各类中英文词典类似,基本涵盖了全部常用中英文字词句的读音、释义及用法,是语言学习和写作的有利工具。

 

Copyright © 2004-2024 vtrois.com All Rights Reserved
更新时间:2026/4/18 21:28:02