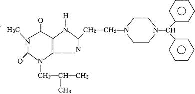
拉普茶碱
C29H36N6O2=500.64 CAS-90749-32-9 8-[2-[4-(二苯甲基)-1-哌嗪基]乙基]-3-异丁基-1-甲基黄嘌呤。 8-[2-[4-(Diphenylmethyl)-1-piperazinyl]ethyl]-3-isobutyl-1-methylxanthine. 8-[2-[4-(二苯甲基)-1-哌嗪基]乙基]-3,7-二氢-1-甲基-3-(2-甲基丙基)-1H-嘌呤-2,6-二酮。 8-[2-[4-(Diphenylmethyl)-1-piperazinyl]ethyl]-3,7-dihydro-1-methyl-3-(2-methylpropyl)-1H-purine2,6-dione. 支气管扩张药。 Laprafylline. INN,USAN. 
|