拉普拉斯变换
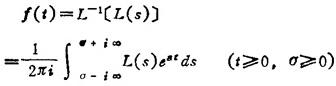
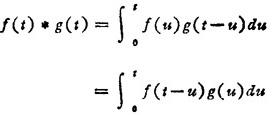
11.1.1 拉普拉斯变换及其反演公式 f(t)的拉普拉斯变换:  拉普拉斯变换的反演公式:  11.1.2 拉普拉斯变换的存在条件 如果f(i)满足下面三个条件,则它的拉普拉斯变换存在。 ❶ 实变量的复值函数f(t)和f′(t)在t≥0上除掉有第一类间断点(在任意有限区间上至多有有限多个)外连续; ❷ 当t<0时,f(t)=0; ❸ f(i)是有限阶的,即可以找到常数a≥0和A>0,使得|f(t)|≤Aeat(t≥0)。这里数a称为f(t)的增长指数,f(t)是有界函数时,可取a=0。11.1.3拉普拉斯变换的性质 L〔af〔t)〕=aL〔f(t)〕(a为常数) L〔af(t)+bg(t)〕=aL〔f(t)〕+bL〔g(t)〕(a、b为常数) L〔f(t)*g(t)〕=L〔f(t)〕·L〔g(t)〕 式中  称为函数f(t)和g(i)的卷积(或褶积)。 11.1.4 拉普拉斯变换简表 见表1.1-15。 表1.1-15 拉氏变换简表   |