网站首页  词典首页


请输入您要查询的字词:

 

字词 拉伸强度的测定
类别 中英文字词句释义及详细解析
释义 拉伸强度的测定

拉伸强度就是试件在受与粘接平面垂直并均匀分布的单位面积上的拉应力。图4-13(a)试样供测试塑料与刚性(金属、非金属)材料粘接拉伸强度。图(b)试样供测试刚性材料与柔性材料、弹性材料的粘接强度。

试件粘接时,要求在专用的定位夹具上进行,保证试样圆柱体位错在0.2mm以内,以保证粘接面垂直受力,测试速度为50mm/min(空载)。

拉伸强度按下式计算:

式中 σ——拉伸强度(MPa)

P——破坏负荷(N)

F——粘接面积(cm2)

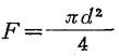
粘接面积按下式计算:

式中 d——试样直径(cm)

随便看

 

离鸟网收录3541549条中英文词条,其功能与新华字典、现代汉语词典、牛津高阶英汉词典等各类中英文词典类似,基本涵盖了全部常用中英文字词句的读音、释义及用法,是语言学习和写作的有利工具。

 

Copyright © 2004-2024 vtrois.com All Rights Reserved
更新时间:2026/4/19 4:07:39