网站首页  词典首页


请输入您要查询的字词:

 

字词 抛物线预测方法
类别 中英文字词句释义及详细解析
释义 抛物线预测方法

趋势外推法的一种。

现象的发展是按每期增长量的增长大体相同的增减变化,即各期的二级增长量大体相同,基本趋势呈现抛物线型规律,按这种规律预测事物的未来的方法就是抛物线预测方法。

抛物线的一般方程为:

y=ax2+bx+c

这种现象发展的特点是,每期都有增长变化,但是,这种变化既不是按相同的增长量,也不是按相同的增长速度,而是表现在增长量的变化上,即每期的增长量按相同的增长量增长,这称为二级增长量相等。我们只要稍加分析就可看到函数y=ax2+bx+c的二级增长量是相等的,按顺序把各年的产量、增长量、二级增长量列入下表:

上表中a、b、c都是待定参数,各年的二级增长量都等于2a。

例如某轻工局连续6年机制纸的产量如下表,试配合适当的曲线,并推算第7年的可能产量。

由上表可看出,各年的二级增长量大致相同,所以产量的发展趋势是抛物线y=ax2+bx+c型。

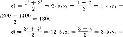
现在资料分为3组,分别用平均法求x2、x和y的平均值。

解得:a=11,b=165.5,c=1024.25

所求方程为:y=11x2+165.5x+1024.25

第7年的可能产量为:

y=11×72+165.5×7+1024.25=2721.75(吨)

随便看

 

离鸟网收录3541549条中英文词条,其功能与新华字典、现代汉语词典、牛津高阶英汉词典等各类中英文词典类似,基本涵盖了全部常用中英文字词句的读音、释义及用法,是语言学习和写作的有利工具。

 

Copyright © 2004-2024 vtrois.com All Rights Reserved
更新时间:2026/4/18 9:31:09