网站首页  词典首页


请输入您要查询的字词:

 

字词 抗炎酸[中]
类别 中英文字词句释义及详细解析
释义 抗炎酸[中]

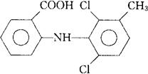
C14H11Cl2NO2=296.15

CAS-644-62-2

N-(2,6-二氯-3-甲苯基)邻氨基苯甲酸。

N-(2,6-Dichloro-3-tolyl)anthranilic acid.

非激素类的强抗炎药。用于急、慢性风湿性及类风湿性关节炎、风湿痛、腰腿痛等。

甲氯灭酸,甲氯胺苯酸,甲氯芬那酸。

Meclophenamic Acid,Meclofenamic Acid.

抗炎酸片(甲氯灭酸片)。

INN,BAN,DCF,NFN,USAN,MI.

随便看

 

离鸟网收录3541549条中英文词条,其功能与新华字典、现代汉语词典、牛津高阶英汉词典等各类中英文词典类似,基本涵盖了全部常用中英文字词句的读音、释义及用法,是语言学习和写作的有利工具。

 

Copyright © 2004-2024 vtrois.com All Rights Reserved
更新时间:2026/4/18 19:37:09