网站首页  词典首页


请输入您要查询的字词:

 

字词 投资回收期法
类别 中英文字词句释义及详细解析
释义 投资回收期法

衡量管理信息系统投入运营后为企业创造的利润,需要多长时间才能补偿投资的方法。

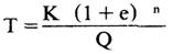
它是衡量在物资信息方面投资效果的综合指标之一。其计算公式是:;式中,T为投资回收期;K为系统的投资总额;Q为系统投入运用后每年提供的利润额。如果是用贷款建设的,需要考虑投资使用期间所付的利息,按复利计算,则其计算公式是:

式中,e为贷款利率,n为贷款投资使用年限。

随便看

 

离鸟网收录3541549条中英文词条,其功能与新华字典、现代汉语词典、牛津高阶英汉词典等各类中英文词典类似,基本涵盖了全部常用中英文字词句的读音、释义及用法,是语言学习和写作的有利工具。

 

Copyright © 2004-2024 vtrois.com All Rights Reserved
更新时间:2026/4/17 20:51:47