网站首页  词典首页


请输入您要查询的字词:

 

字词 投资价格指数
类别 中英文字词句释义及详细解析
释义 投资价格指数

指固定资产投资中价格变动的指数。

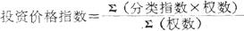
它可根据建筑安装工程价格指数、设备价格指数和其他费用变动指数用加权算术平均法编制。权数是建筑安装工程、设备、其他投资费用占固定资产投资总额的比重。

计算公式为:

如:某地区固定资产投资总额中,建筑安装工程价格指数、设备价格指数、其他费用变动指数及其权数资料如下:

它说明报告期投资价格比基期增加了5.92%。

随便看

 

离鸟网收录3541549条中英文词条,其功能与新华字典、现代汉语词典、牛津高阶英汉词典等各类中英文词典类似,基本涵盖了全部常用中英文字词句的读音、释义及用法,是语言学习和写作的有利工具。

 

Copyright © 2004-2024 vtrois.com All Rights Reserved
更新时间:2026/4/20 20:39:40