投资乘数论
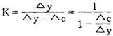
一定量的投资变动所能最终导致国民收入乃至就业量的变动比例。该概念最早由英国经济学家康恩(R.F.Kahn)在1931年发表的《国内投资与失业的关系》论文中提出,旨在论证投资净增长与由此引起总就业量之间的关系。凯恩斯则用这一概念说明投资与由此引起收入之间的关系。凯恩斯认为,投资增长会带来国民收入的增加,但投资导致的国民收入增加量会大于最初的投资量,这是因为一个部门投资的增长会引起一系列其他部门收入的增加。所以,乘数就是国民收入的变动量与引起这种变动的最初投资量之间的比率。设K为投资函数或乘数,△y为国民收入增加量,△I为投资增加量,则K=△y/△I。因为国民收入增加量中包括间接引起的消费增量(△c)在内,即△y=△c+△I,故又得:  式中,△c/△y为边际消费倾向。显然,边际消费倾向越大,投资乘数也就越大。但是,投资乘数作用的发挥要以社会上存在著闲置资源为前提,即只有在一定数量的劳动力和一定数量的存货可被利用时,投资的增加才会引起国民收入的倍增。 |