投资乘数原理
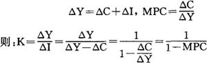
又称“倍数理论”。 乘数概念最早由英国经济学家卡恩(R.E.Kahn)在1931年提出,凯恩斯(J.M.Keynes,1883-1946)在《货币、利息与就业通论》中进一步发挥而形成乘数原理。投资乘数是作为因变量的国民收入增量与作为自变量的投资增量的比率,其代数表达式为:  K为投资乘数,△Y为国民收入增量,△I为投资增量。 投资乘数一般大于1,即一笔投资所引起的连锁反应会导致国民收入多倍的增加。 因为国家经济的各个生产部门是互相关联的,某一部门增加一笔投资,不仅会直接增加本部门的收入,而且会连锁增加对第二、第三……等部门产品的需求,从而使整个经济的收入成倍于原投资的增加。 由此可见,投资乘数与边际消费倾向(Marginal Propensity to Consume,MPC,即消费增量在收入增量中所占的比例)是同方向变化的。设△C为消费增量。因:  即投资乘数与边际消费倾向同方向变化。另外,设△S为储蓄增量,则边际储蓄倾向(Marginal Propensity to Saving,MPS)为:  即投资乘数与边际储蓄倾向成反比。 |