网站首页  词典首页


请输入您要查询的字词:

 

字词 投入产出价格分析
类别 中英文字词句释义及详细解析
释义 投入产出价格分析

利用结构矩阵A,国民经济各部门生产与最终需求之间的平衡,可表示为矩阵方程

(I-A)x=y

其中I是恒同矩阵,x是各部门的产出向量,y是最终需求向量。

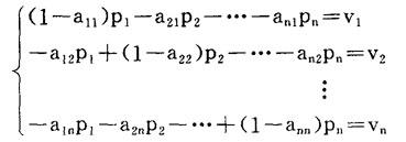
每个生产部门所接受的价格,必须等于它为每单位产出而从各部门购入的投入量的支付,加上每单位产出的增值。因此,价格平衡方程是

写成矩阵形式就是(I-AT)p=v,

其中AT是结构矩阵A的转置矩阵,p是价格向量,v是包含工资、利息、利润、赋税等的增值向量。方程的解是

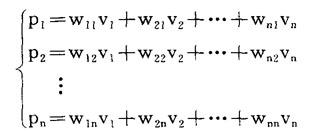
p=WTv

其中WT是矩阵I-A的逆矩阵W=(I-A)-1的转置矩阵。详细写下来,就是

所以,对预定的各部门每单位产出的增值v1,v2,…,vn,就可以算出每种产品的价格p1,p2,…,pn

随便看

 

离鸟网收录3541549条中英文词条,其功能与新华字典、现代汉语词典、牛津高阶英汉词典等各类中英文词典类似,基本涵盖了全部常用中英文字词句的读音、释义及用法,是语言学习和写作的有利工具。

 

Copyright © 2004-2024 vtrois.com All Rights Reserved
更新时间:2026/4/18 16:39:46