网站首页  词典首页


请输入您要查询的字词:

 

字词 抄造率的计算
类别 中英文字词句释义及详细解析
释义 抄造率的计算

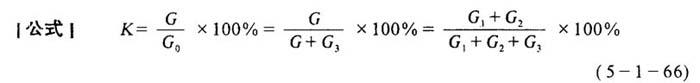
[说明]指在卷纸机处的实际抄造量占理论抄造量的百分比。

式中 K——抄造率(%)

G——实际抄造量(kg)

G0——理论(计算)抄造量(kg)

G1——成品(合格品)实量(kg)

G2——完成损纸量(kg)

G3——抄造损纸量(kg)

随便看

 

离鸟网收录3541549条中英文词条,其功能与新华字典、现代汉语词典、牛津高阶英汉词典等各类中英文词典类似,基本涵盖了全部常用中英文字词句的读音、释义及用法,是语言学习和写作的有利工具。

 

Copyright © 2004-2024 vtrois.com All Rights Reserved
更新时间:2026/4/19 21:35:37