承包工程合同中的价格条款
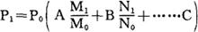
在承包工程合同中,价格条款是最重要最基本的条款之一,也是业主与承包商合同谈判中的主要问题。 价格条款中,要结合工程的技术特点、设计深度确定是属于何种价格的合同,包括计价时所使用的货币,价格的调整及货币保值的措施。价格的构成以每项工程都要编制的单价表(该表根据工程制出)为依据,是否包括税金,包括税金的种类,应由双方协商,在合同中详细规定。合同的价格既有固定价格也有滑动价格,通常采用固定价格。 如果项目的执行期很长,规模又很大,在施工期内物价和工资水平都可能发生变化,这时应采用滑动价格进行调整。 调整的步骤为先确定各子项的固定比例,确定价格时的物价指数和支付时的物价指数,然后用以下滑动价格公式进行调整:  P1:调整后的价格;P0:原价格;A、B…:品种系数;M1、N1:这两种物资调整后的价格;M0、N。:合同签订时的价格;C:固定系数。另外,还需在价格条款中,根据国际货币市场的行情趋势正确地选择货币,以减少汇率变化带来的风险。 |