网站首页  词典首页


请输入您要查询的字词:

 

字词 托非索泮
类别 中英文字词句释义及详细解析
释义 托非索泮

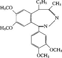
C22H26N2O4=382.46

CAS-22345-47-7

1-(3,4-二甲氧苯基)-5-乙基-7,8-二甲氧-4-甲基-5H-2,3-苯并二氮杂

1-(3,4-Dimethoxyphenyl)-5-ethyl-7,8-dimethoxy4-methyl-5H-2,3-benzodiazepine.

安定药,抗抑郁药,抗焦虑药。

Tofisopam,Grandexin,Felicyl,Seriel,Gandaxine,Tavor,Egyl 341 SD 19050.

INN,DCF,USAN,MI

随便看

 

离鸟网收录3541549条中英文词条,其功能与新华字典、现代汉语词典、牛津高阶英汉词典等各类中英文词典类似,基本涵盖了全部常用中英文字词句的读音、释义及用法,是语言学习和写作的有利工具。

 

Copyright © 2004-2024 vtrois.com All Rights Reserved
更新时间:2026/4/21 11:57:52