网站首页  词典首页


请输入您要查询的字词:

 

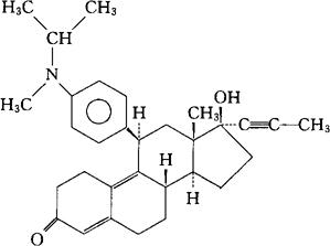
字词 托立司酮
类别 中英文字词句释义及详细解析
释义 托立司酮

C31H39NO2=457.66

CAS-91935-26-1

17β-羟-11β-[对-(异丙甲基氨基)苯基]-17-(1-丙炔基)雌甾-4,9-二烯-3-酮。

17β-Hydroxy-11β-[p-(isopropylmethylamino)phenyl]-17-(1-propynyl)estra-4,9-dien-3-one.

抗肾上腺皮质激素类药。

Toripristone.

INN,USAN.

随便看

 

离鸟网收录3541549条中英文词条,其功能与新华字典、现代汉语词典、牛津高阶英汉词典等各类中英文词典类似,基本涵盖了全部常用中英文字词句的读音、释义及用法,是语言学习和写作的有利工具。

 

Copyright © 2004-2024 vtrois.com All Rights Reserved
更新时间:2026/4/18 12:01:03