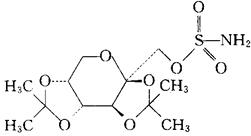
托吡酯
C12H21NO8S=339.36 CAS-97420-79-4 2,3∶4,5-双-邻-(1-甲基次乙基)-β-D-吡喃果糖氨基磺酸酯。 β-D-Fructopyranose,2,3∶4,5-bis-o-(1-methylethylidene)-sulfamate. 2,3∶4,5-二-邻-异亚丙基-β-D-吡喃果糖氨基磺酸酯。 2,3∶4,5-Di-o-isopropylidene-β-D-fructopyranose sulfamate. 抗惊厥药。 Topiramate,McN-4853. INN,USAN. 
|