网站首页  词典首页


请输入您要查询的字词:

 

字词 托可芬酯
类别 中英文字词句释义及详细解析
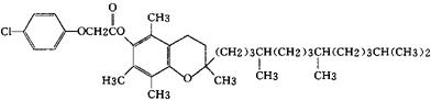
释义 托可芬酯

C37H55ClO4=599.29

CAS-61343-44-0

全-消旋-(对-氯苯氧基)醋酸2,5,7,8-四甲基-2-(4,8,12-三甲基十三烷基)-6-苯并二氢吡喃酯。

all-rac-2,5,7,8-Tetramethyl-2-(4,8,12-trimethyltridecyl)-6-chromanyl(p-chlorophenoxy)acetate.

半合成维生素E的衍生物,维生素E的补充药。

Tocofenoxate.

INN,USAN.

随便看

 

离鸟网收录3541549条中英文词条,其功能与新华字典、现代汉语词典、牛津高阶英汉词典等各类中英文词典类似,基本涵盖了全部常用中英文字词句的读音、释义及用法,是语言学习和写作的有利工具。

 

Copyright © 2004-2024 vtrois.com All Rights Reserved
更新时间:2026/4/21 17:05:30