托可索仑
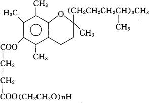
C33H54O5(C2H4O)n(n=approximately 22) CAS-30999-06-5 α-[4-[3,4-二氢-2,5,7,8-四甲基-2-(4,8,12-三甲基十三烷基)-2-H-1-苯并吡喃-6-基]氧]-1,4-二氧代丁基-ω-羟-聚(氧代-1,2-乙烷二基)。 Poly(oxy-1,2-ethanediyl),α-[4-[3,4-dihydro-2,5,7,8-tetramethyl-2-(4,8,12-trimethyltridecyl)-2H1-benzopyran--6-yl]oxy]-1,4-dioxobutyl-ω-hydroxy. 单-[2,5,7,8-四甲基-2-(4,8,12-三甲基十三烷基)-6-苯并二氢吡喃基]琥珀酸聚乙二醇单酯。 Mono-[2,5,7,8-tetramethyl-2-(4,8,12-trimethyltridecyl)-6-chromanyl]siccinatepolyethylene glycol monoester. (+)-α-生育酚基聚乙二醇1000琥珀酸酯。 (+)-α-Tocopheryl polyethylene glycol 1000 succinate. 维生素类药,维生素E的补充药,抗氧药。 Tocophersolan,Vitamin E,Vitamin E TPGS,TPGS,Tocofersolan. INN(Tocofersolan),USAN. 
|