网站首页  词典首页


请输入您要查询的字词:

 

字词 托加比特
类别 中英文字词句释义及详细解析
释义 托加比特

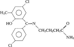
C18H18Cl2N2O2=365.26

CAS-86914-11-6

(E)-4-[[(5-氯-2-羟-3-甲基苯基)-(4-氯苯基)亚甲基]氨基]-丁酰胺。

Butanamide,4-[[(5-chloro-2-hydroxy-3-methylphenyl)-(4-chlorophenyl)methylene]amino]-,(E)-.

(E)-4-[[5-氯-α-(对-氯苯基)-3-甲基亚水杨基]氨基]丁酰胺。

(E)-4-[[5-Chloro-a-(p-chlorophenyl)-3-methylsalicylidene]amino]butyroyl.

抗惊厥药,抗癫痫药,抗抑郁药。

Tolgabide,SL81,0142-00.

INN,BAN,USAN.

随便看

 

离鸟网收录3541549条中英文词条,其功能与新华字典、现代汉语词典、牛津高阶英汉词典等各类中英文词典类似,基本涵盖了全部常用中英文字词句的读音、释义及用法,是语言学习和写作的有利工具。

 

Copyright © 2004-2024 vtrois.com All Rights Reserved
更新时间:2026/4/21 17:13:53