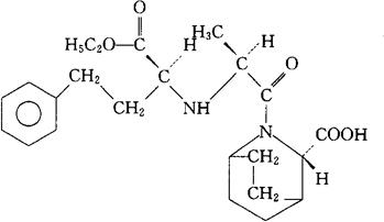
扎必普利
C23H32N2O5=416.52 CAS-83059-56-7 2-[2-[[1-(乙氧羰基)-3-苯丙基]氨基]-1-氧代丙基]-2-氮杂双环[2.2.2]辛烷-3-羧酸。 2-[2-[[1-(Ethoxycarbonyl)-3-phenylpropyl]amino]-1-oxopropyl]-2-azabicyclo[2.2.2]octane-3-carboxylic acid. (3S)-2-[(2S)-N-[(1S)-1-羧-3-苯丙基]丙氨酰]-2-氮杂双环[2.2.2]辛烷-3-羧酸,1-乙酯。 (3S)-2-[(2S)-N-[(1S)-1-Carboxy-3-phenylpropyl]alanyl]-2-azabicyclo[2.2.2]octane-3-carboxylic acid,1-ethyl ester. 抗高血压药。 扎比西卜尼。 Zabicipril. INN,USAN.  |