网站首页  词典首页


请输入您要查询的字词:

 

字词 扇形面积
类别 中英文字词句释义及详细解析
释义 扇形面积

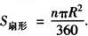
如果扇形的半径为R,圆心角为n°,那么扇形的面积计算公式为:

注意 1.用弧长l也可以表示扇形面积:S扇形=1/2Rl.

2.公式中的n表示1°的圆心角的倍数,所以不写单位.

例1 圆心角为144°,半径为2的扇形的弧长是__,面积是__.

[解析] 根据弧长计算公式

根据扇形面积计算公式

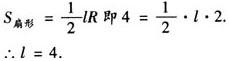
例2 扇形面积为4cm2,半径为2,则扇形的弧长等于__cm.

答 4.

[解析] 根据扇形面积计算公式

例3 如图,AB为半圆直径,C、D三等分,若☉O的半径为R,求图中由和BC、 BD弦围成的阴影部分的面积.

解 连结OC、OD、CD.

∵C、D三等分

∴∠DCB=∠CBA,∠COD=∠AOC=∠BOD=60°.

∴AB∥CD.

∴S△COD=S△CBD

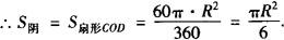
例4 如图,在同心圆中,两圆半径分别为2,1,∠AOB=120°,则阴影部分的面积为( ).

A.4π

B.2π

C.4/3π

D.π

答 B.

[解析] ∵优弧所对圆心角为360°-120°=240°,∴阴影部分的面积为·π(22-12)=2π.

例5 如图1,在△ABC中,∠A=90°,分别以B、C为圆心的等圆外切,圆的半径为1cm,则图中阴影部分的面积为__cm2,若两圆外离,其他条件都不变,则图2中阴影部分的面积为__cm2

图1

图2

[解析] 设∠B和∠C的度数分别为n1和n2,则n1+n2=90°.

∵两圆的半径都是1,

∴不论两圆外切或相离,阴影部分面积

例6 沈阳市某中学举办校园文化艺术节,小颖设计了同学们喜欢的图案《我的宝贝》,图案的一部分是以斜边长为12cm的等腰直角三角形的各边为直径作半圆(如图),则图中阴影部分的面积为( ).

A.36πcm2

B.72πcm2

C.36cm2

D.72cm2

答 C.

[解析] π(3)2-(1/2π·62-1/2·12·6)=36.

例7 (1)☉A、☉B、☉C互相外离,且半径都是1,顺次连接三个圆心,得△ABC,则图中阴影部分面积是__.

(2)☉A、☉B、☉C、☉D互相外离,且半径都是1,顺次连接四个圆心,得四边形ABCD,则图中阴影部分面积是__.

(3)☉A、☉B、☉C、☉D、☉E互相外离且半径都是1,顺次连接五个圆心,得五边形ABCDE,则图中阴影部分面积是__.

(4)☉A、☉B、☉C互相外离,且半径都是1,顺次连接n个圆心,得n边形ABC…,则如上面3题,得阴影部分面积是__.

[解析] 各个扇形半径都是1,圆心角之和分别是三角形、四边形、五边形…n边形的内角和.

例8 AB是大圆的直径,分别把AB两等分、三等分、四等分、…、n等分,再分别以其中的一份为直径画圆,设大圆的周长为l,面积为S,那么,

(1)当两等分AB时,小圆的周长=__l,面积=__S.

(2)当三等分AB时,小圆的周长=__l,面积=__S;

(3)当四等分AB时,小圆的周长=__l.面积=__S;

(4)当n等分AB时,小圆的周长=__l,面积=__S.(用含n的代数式表示)

随便看

 

离鸟网收录3541549条中英文词条,其功能与新华字典、现代汉语词典、牛津高阶英汉词典等各类中英文词典类似,基本涵盖了全部常用中英文字词句的读音、释义及用法,是语言学习和写作的有利工具。

 

Copyright © 2004-2024 vtrois.com All Rights Reserved
更新时间:2026/4/19 7:42:37