成本预测散布图法
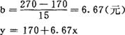
是指把需要观察的历史成本数据在坐标纸上作图,以确定其变动成本和固定成本各占比重多少,并对成本进行预测的一种方法。 制作散布图的步骤:(1)收集对应数据。即对需要观察的历史数据是否有相关的两类数据:业务量和成本,以对应的形式进行收集。(2)制作散布图的横轴x表示业务量,纵轴y表示成本。(3)根据对应数据在图上描点,即作出散布图。(4)根据目测在各成本点之间划一根反映成本发展趋势的平均直线,该线与y轴相交之点,即代表混合成本中的固定成本总额部分a,而成本趋势直线的斜率即代表单位成本b。其计算方法原理如下:  例如,某企业某年度某产品的成本资料如下  先按历史数据作坐标图如下:  通过目测,在7个坐标点之间划一根反映成本发展趋势的平均线,该线与y轴相交之处代表产品成本的固定部分(即a=170元);成本趋势直线的斜率即单位变动成本(b),可按下列公式计算:  则 
|