网站首页  词典首页


请输入您要查询的字词:

 

字词 成本定价策略
类别 中英文字词句释义及详细解析
释义 成本定价策略

成本定价策略的思想是根据产品的成本,制定产品最终价格的一种定价策略。

这种定价策略在我国目前使用相当广泛。

由于成本是影响产品价格的主要因素,是企业为生产该产品所耗费的费用,所以产品价格必须能够弥补成本,才能保证企业不亏损。成本定价策略正是基于弥补企业所费并略有盈余这一基本思想而形成的一种策略。

这种定价策略的优点就是简便易行,而且确保了企业单位产品的利润。

但是,这种定价策略也有自己的缺点:该策略只以企业自身为中心,没有考虑到市场的需求状况,忽视了消费者的因素;该策略也忽略了固定成本的摊销问题,如果生产批量大,那么分摊到单位产品的固定成本就少,单位产品价格就会下降;另外,该策略也缺乏考虑成本的变动因素,没有考虑到价格以成本为基础会不断变化,这对销售是不利的。

成本定价策略的具体方法有:成本加成定价法和目标定价法。

(1)成本加成定价法。它是一种按照成本确定价格的定价方法,在西方国家广为应用。

它的特点是单位成本加上固定百分比的利润后确定价格。假设一双皮鞋的单位成本10美元,加上20%的利润,那么售价就是10×(1+20%)=12美元。

西方国家的零售业,大都采用加成定价。它们对各种商品加上预先规定的不同幅度的加成。

比如:百货商店一般对烟类加成20%,照相机28%,书籍34%,衣物41%,珠宝饰品46%,女帽类50%,等等。

(2)目标定价法。

也是一种以成本为中心的定价方法。它根据企业的总成本和预计的总销量,确定一个目标收益率后确定价格。

美国通用汽车公司就这样定价,它以总投资额的15%-20%作为每年的目标收益率,摊入汽车售价中,西方国家的许多大型公用事业也是这样定价的。因为它们投资大,业务具有垄断性,又和公众利益息息相关,所以政府对它们的定价有一定的限制,只能依据投资额确定一定的百分比,计算收费标准。其步骤如下:

❶ 确定固定成本。这种成本短期内不随产量变化而变化。

❷ 确定总成本,这是固定成本与变动成本的总和,变动成本包括所有随产量变化而变化的费用开支。当产量为零时,总成本等于固定成本。

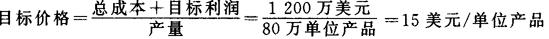
❸ 假设企业的生产能力为100万单位产品,估计未来时期80%的生产能力能够运行,那么就可以向市场提供80万单位产品。

❹ 生产80万单位产品的总成本是1000万美元。

❺ 假设企业想得到20%的成本收益率,那末目标利润就是200万美元,总收益要达到1200万美元。

随便看

 

离鸟网收录3541549条中英文词条,其功能与新华字典、现代汉语词典、牛津高阶英汉词典等各类中英文词典类似,基本涵盖了全部常用中英文字词句的读音、释义及用法,是语言学习和写作的有利工具。

 

Copyright © 2004-2024 vtrois.com All Rights Reserved
更新时间:2026/4/19 0:03:33