网站首页  词典首页


请输入您要查询的字词:

 

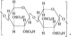
字词 戊聚糖多硫酸酯
类别 中英文字词句释义及详细解析
释义 戊聚糖多硫酸酯

分子量为1500~5000

抑制动脉粥样硬化药。

能增加纤维蛋白溶解酶活性,特别是增加脂蛋白脂酶活性,降低血液凝固性,并能降低胆固醇、甘油三酯及β/α脂蛋白比率。适合于脑冠脉及周围血管粥样硬化患者服用。

戊聚糖多硫酸酯钠,木聚硫酯。

Pentosan Polysulfate.

随便看

 

离鸟网收录3541549条中英文词条,其功能与新华字典、现代汉语词典、牛津高阶英汉词典等各类中英文词典类似,基本涵盖了全部常用中英文字词句的读音、释义及用法,是语言学习和写作的有利工具。

 

Copyright © 2004-2024 vtrois.com All Rights Reserved
更新时间:2026/4/18 9:19:20