网站首页  词典首页


请输入您要查询的字词:

 

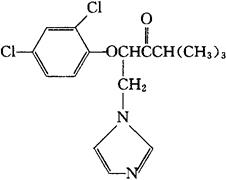
字词 戊康唑
类别 中英文字词句释义及详细解析
释义 戊康唑

C16H18Cl2N2O2=341.24

CAS-56097-80-4

(±)-2-(2,4-二氯苯氧)-1-咪唑-1-基-4,4-二甲基-3-戊酮。

(±)-2-(2,4-Dichlorophenoxy)-1-imidazol-1-yl-4,4-dimethyl-3-pentanone.

抗霉菌药,抗真菌药。

Valconazle,Bay f8751.

INN,BAN,USAN.

随便看

 

离鸟网收录3541549条中英文词条,其功能与新华字典、现代汉语词典、牛津高阶英汉词典等各类中英文词典类似,基本涵盖了全部常用中英文字词句的读音、释义及用法,是语言学习和写作的有利工具。

 

Copyright © 2004-2024 vtrois.com All Rights Reserved
更新时间:2026/4/18 15:21:43