网站首页  词典首页


请输入您要查询的字词:

 

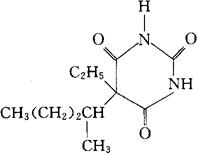
字词 戊巴比妥
类别 中英文字词句释义及详细解析
释义 戊巴比妥

C11H18N2O3=226.27

CAS-76-74-4

5-乙基-5-(1-甲丁基)-2,4,6(1H,3H,5H)嘧啶三酮。

5-Ethyl-5-(1-methylbutyl)-2,4,6(1H,3H,5H)-pyrimidinetrione.

5-乙基-5-(1-甲丁基)巴比土酸。

5-Ethyl-5-(1-methylbutyl)barbituric acid.

催眠镇静药。

Pentobarbital,Pentobarbitone,Ethaminal,Mebubarbital,Neodorm.

INN,USAN,USP.

随便看

 

离鸟网收录3541549条中英文词条,其功能与新华字典、现代汉语词典、牛津高阶英汉词典等各类中英文词典类似,基本涵盖了全部常用中英文字词句的读音、释义及用法,是语言学习和写作的有利工具。

 

Copyright © 2004-2024 vtrois.com All Rights Reserved
更新时间:2026/4/19 10:21:11