网站首页  词典首页


请输入您要查询的字词:

 

字词 戊前列烯
类别 中英文字词句释义及详细解析
释义 戊前列烯

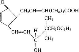
C21H32O5=364.48

CAS-61557-12-8

(±)-(Z)-7-[(1R*,2R*)-2-[(E)-3R*-5-乙氧-3-羟-4,4-二甲基-1-戊烯基]-5-氧代-3-环戊烯基-1]-5-庚烯酸。

(±)-(Z)-7-[(1R*,2R*)-2-[(E)-3R*-5-Ethoxy-3-hydroxy-4,4-dimethyl-1-pentenyl]-5-oxo-3-cyclopenten-1-yl]-5-heptenoic acid.

抗高血压药。

前列斯坦。

Penprostone.

INN,USAN.

随便看

 

离鸟网收录3541549条中英文词条,其功能与新华字典、现代汉语词典、牛津高阶英汉词典等各类中英文词典类似,基本涵盖了全部常用中英文字词句的读音、释义及用法,是语言学习和写作的有利工具。

 

Copyright © 2004-2024 vtrois.com All Rights Reserved
更新时间:2026/4/19 9:28:16