愈创茶碱
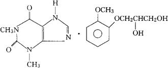
C7H8N4O2·C10H14O4=378.38 CAS-5634-38-8 3,7-二氢-1,3-二甲基-1H-嘌呤-2,6-二酮与3-(2-甲氧苯氧)-1,2-丙烷二醇(1∶1)的化合物。 3,7-Dihydro-1,3-dimethyl-1H-purine-2,6-dione,compd.with 3-(2-methoxyphenoxy)-1,2 propanediol(1∶1). 茶碱与3-(邻-甲氧苯氧)-1,2-丙烷二醇的化合物。 Theophylline compd.with 3-(o-methoxyphenoxy)-1,2-propanediol. 支气管扩张药。 Guaithylline,Guaifylline. INN(Guaifylline),USAN(Guaithylline).  |