网站首页  词典首页


请输入您要查询的字词:

 

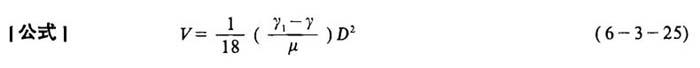
字词 悬浮颗粒上浮速度的理论计算
类别 中英文字词句释义及详细解析
释义 悬浮颗粒上浮速度的理论计算

[说明]当水中悬浮物颗粒上浮时,与沉降速度的情况一样,它的上浮速度可用斯笃克斯公式计算。

式中 V——悬浮物颗粒的上浮速度(m/s)

γ1——废水的重度(N/m3)

γ——上浮颗粒重度(N/m3)

μ——废水粘度(Pa·s)

D——带气悬浮物颗粒的直径(m)

随便看

 

离鸟网收录3541549条中英文词条,其功能与新华字典、现代汉语词典、牛津高阶英汉词典等各类中英文词典类似,基本涵盖了全部常用中英文字词句的读音、释义及用法,是语言学习和写作的有利工具。

 

Copyright © 2004-2024 vtrois.com All Rights Reserved
更新时间:2026/4/19 15:08:08