网站首页  词典首页


请输入您要查询的字词:

 

字词 悬浮物的测定
类别 中英文字词句释义及详细解析
释义 悬浮物的测定

悬浮物是水中不能通过滤器的固体。制革废水中悬浮物含量高,水的粘度大,水质混浊,影响水生生物的呼吸、代谢作用,甚至使鱼类死亡。

1.原理

将水样过滤,截留在滤器上的固体于103~105℃干燥至恒重,得到悬浮固体的质量。

2.仪器

(1)全玻璃微孔滤膜过滤器:配用CNCA滤膜、孔径0.45μm、直径60mm。

或用2号玻璃砂芯漏斗,或中速定量滤纸。

(2)吸滤设备:吸滤瓶,真空泵或射水器。

3.操作步骤

(1)水样采集和贮存:用洗净的聚乙烯瓶或硬质玻璃瓶,采集具有代表性的水样500~1000mL,盖严瓶塞。漂浮或浸没的不均匀固体物质不属于悬浮物,应从水样中除去。

采样后应尽快测定。如需放置,应贮存在4℃冷藏箱中,但最长不得超过7天。不能加入任何保护剂,以防破坏物质在固、液间的分配平衡。

(2)滤器准备:将一张滤膜(或蒸馏水洗过的滤纸)放在称量瓶中,打开瓶盖,在103~105℃烘干30min后取出。在干燥器内冷却至室温、盖好瓶塞称量。反复烘干、冷却、称量,直至两次称量的质量差≤0.2mg。

(3)测定:取振荡均匀的水样100mL(必要时可减少或增加量取水样的体积,使含悬浮物10~100mg),通过滤膜(或滤纸)过滤。再以每次10mL蒸馏水洗涤3次。

仔细取出载有悬浮物的滤膜(或滤纸),放入原称量瓶里,移入烘箱中于103~105℃下烘干1h后移入干燥器中,使冷却到室温,称量。反复烘干、冷却、称量,直至两次称量的质量差≤0.4mg为止。

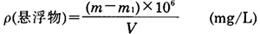
4.结果计算

式中 m——悬浮物+滤膜(或滤纸)+称量瓶质量(g);

m1——滤膜(或滤纸)+称量瓶质量(g);

V——水样体积(mL)。

5.用玻璃砂芯漏斗过滤的测定方法

如滤器用玻璃砂芯漏斗代替滤膜或滤纸,方法同上,但不使用称量瓶,过滤前及过滤后直接将玻璃砂芯漏斗烘干、冷却、称量、直至恒重。计算公式中,A为悬浮物加玻璃砂芯漏斗质量,B为玻璃砂芯漏斗质量。此外,如废水粘度大,可将量取的水样加蒸馏水2~4倍稀释后,放置半小时以上,待沉降分层后,再抽吸过滤。

随便看

 

离鸟网收录3541549条中英文词条,其功能与新华字典、现代汉语词典、牛津高阶英汉词典等各类中英文词典类似,基本涵盖了全部常用中英文字词句的读音、释义及用法,是语言学习和写作的有利工具。

 

Copyright © 2004-2024 vtrois.com All Rights Reserved
更新时间:2026/4/19 22:45:44