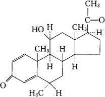
恩甲羟松
C22H30O3=342.48 CAS-35100-44-8 (6α,11β)-11-羟基-6-甲基,孕甾-1,4-二烯-3,20-二酮。 (6α,11β)-11-Hydroxy-6-methyl,pregna-1,4-diene3,20-dione. 11β-羟基-6α-甲基孕甾-1,4-二烯-20-二酮。 11β-Hydroxy-6α-methylpregna-1,4-diene-20-dione. 肾上腺皮质激素类药,局部眼用消炎药。 恩得立速。 Endrysone,Endrisone,Delta Medryson,Aldrisone. INN(Endrisone),USAN.  |