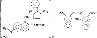
恩波维铵
C75H70N6O6=1151.41 CAS-3546-41-6 6-二甲氨基-2-[2-(2,5-二甲基-1-苯基-3-吡咯基)-烯乙基]-1-甲基喹啉鎓双羟萘酸盐。 6-Dimethylamino-2-[2-(2,5-dimethyl-1-phenylpyrrol-3-yl)vinyl]-1-methylquinolinium pamoate(2∶1). 抗寄生虫病药。用于蛲虫感染。 扑蛲灵。 Pyrvinium Pamoate,Pyrvinium Embonate,Viprynium Embonate,Povan. 扑蛲灵片。 BAN,BP,DCF,USAN,USP,MI.  |