网站首页  词典首页


请输入您要查询的字词:

 

字词 恩格尔定律
类别 中英文字词句释义及详细解析
释义 恩格尔定律

19世纪德国统计学家恩格尔在他的家计预算报告中发现:随著家庭生活水平的提高,食品的消费支出占家庭总消费支出的比率减少。

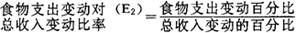
这一发现一再为生活所证实,被称为恩格尔定律。用公式表示为:

或者

E2亦称为食物的支出收入弹性,恩格尔系数是根据恩格尔定律而得出的比例系数,公式为:

恩格尔系数=食物支出金额/总支出金额

人们常常依据恩格尔系数的高低划分生活水平。如恩格尔系数50%以上称为温饱生活水平,40%-50%称为小康生活水平,30%-40%称为富裕生活水平。恩格尔定律的普遍适用有两个前提:(1)假定其他一切变量都是常数。(2)“食物支出”有统一的含义。这两个前提条件在我国是不具备的,这使恩格尔定律在我国的适用性受到一定限制,因此用它评定我国消费水平和进行国际对比时,要客观分析。

如我国房租,医疗费由国家补贴很多,在国外这些支出都很高,这就造成我国恩格尔系数较高,但生活水平并不一定低。

随便看

 

离鸟网收录3541549条中英文词条,其功能与新华字典、现代汉语词典、牛津高阶英汉词典等各类中英文词典类似,基本涵盖了全部常用中英文字词句的读音、释义及用法,是语言学习和写作的有利工具。

 

Copyright © 2004-2024 vtrois.com All Rights Reserved
更新时间:2026/4/20 16:37:19