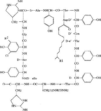
恩拉霉素
C107H138Cl2N26O31=2355.33 CAS-11115-82-5 本品系由Streptomyces fungicidicus B 5477或由其他(同样)方法产生。 Antibiotic obtained from cultures of Streptomyces fungicidicus B 5477,or the same substance produced by any other means. 抗生素类药。用于耐药金葡菌、链球菌、肺炎球菌引起的感染,如深部或浅部化脓性疾病、支气管炎、支气管扩张、肺炎、肺气肿、肺脓疡、脓胸、尿路感染、中耳炎等,对儿童呼吸系统感染效果较好。恩迪拉霉素,持久霉素。 Enramycin,Enradin. INN,USAN.  |