网站首页  词典首页


请输入您要查询的字词:

 

字词 恩他卡喷
类别 中英文字词句释义及详细解析
释义 恩他卡喷

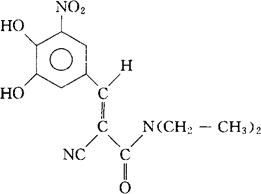
C14H15N3O5=305.29

CAS-130929-57-6

(E)-α-氰基-N,N-二乙基-3,4-二羟基-5-硝基肉桂酰胺。

(E)-α-Cyano-N,N-diethyl-3,4-dihydroxy-5-nitrocinnamamide.

Entacapone.

INN,USAN.

随便看

 

离鸟网收录3541549条中英文词条,其功能与新华字典、现代汉语词典、牛津高阶英汉词典等各类中英文词典类似,基本涵盖了全部常用中英文字词句的读音、释义及用法,是语言学习和写作的有利工具。

 

Copyright © 2004-2024 vtrois.com All Rights Reserved
更新时间:2026/4/18 17:50:08