总量法
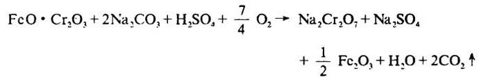
[说明]所谓总量法,就是以报告期的原料总耗量、主副产品及回收品的总产量为基础,用式6-1-3来计算物料或污染物流失总量。 [例]某化工厂年产重铬酸钠2010t,其纯度为98%,每吨重铬酸钠耗用铬铁矿粉1440kg,铬铁矿粉含Cr2O3量为50%,重铬酸钠转炉焙烧转化率为80%。含铬废水处理为75000m3,处理前废水含六价铬浓度C0=0.175kg/t,处理后六价铬浓度为C1=0.005kg/t。铬渣、铝渣、芒硝未处理,试求该厂全年六价铬的流失量。 解:化学反应式为:  当量换算值:  原料中六价铬的有效使用量: G原=2010×1440×0.50×0.684×0.8=791907.84(kg) 产品中Cr+6量:G产=2010×0.98×0.349×1000=687460.2(kg) 废水中处理掉的Cr+6量: G处=75000×1×(C0-C1)=75000×1×(0.175-0.005)=12750(kg) Cr+6流失量 G流失=G原-G产-G处 =791907.84-687460.2-12750=91697.64(kg) |