网站首页  词典首页


请输入您要查询的字词:

 

字词 总固体含量的测定
类别 中英文字词句释义及详细解析
释义 总固体含量的测定

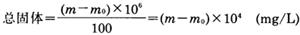
总固体是水中可溶性固体与悬浮固体的总和。将干净的直径为9cm的玻璃蒸发皿或瓷蒸发皿在105~110℃烘箱中烘至恒重,称重为m0。再准确吸取未经过滤、混合均匀的原水样100mL于蒸发皿中,放在水浴上蒸发至干,再移入105℃烘箱中烘至恒重,称重为m。

随便看

 

离鸟网收录3541549条中英文词条,其功能与新华字典、现代汉语词典、牛津高阶英汉词典等各类中英文词典类似,基本涵盖了全部常用中英文字词句的读音、释义及用法,是语言学习和写作的有利工具。

 

Copyright © 2004-2024 vtrois.com All Rights Reserved
更新时间:2026/4/17 23:13:15