总产值分析
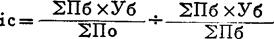
用以研究总产值的数量、结构、增长速度,挖掘进一步增加总产值生产的潜力。 可以对某几种农产品和工业产品进行分析,也可以对整个总产值(价值指标)进行分析。 在分析过程中,将多年平均的总产值生产增长速度,与某些时期或与计划进行比较。 可以将整个集体农庄、国营农场、跨单位企业和联合公司、农工企业和联合公司的指标进行比较,而在可能的情况下,也可按各个部门进行指标比较。 为了评价被研究的企业总产值增长速度的变化和整个计划的执行情况,用国家收购价格(或者比较价格)乘以农产品生产的实物指标,把所得的积按照被研究的数列加起来。按当年日历年度(按多年平均数)将栽种和管理浆果类果树、技术作物和其他作物(森林除外)幼苗所支出的费用,均计入农业总产值。 总产值的增长速度,是由各种因素决定的。例如,在种植业中,以实物表示的每种作物的总产量,取决于作物的播种面积和单位面积产量;在畜牧业中,则取决于牲畜的年平均头数及其产品率。为了分析每种因素对总产值增长速度的影响,可使用各种方法:指数计算法、相关法和排除法。 指数计算法最为简单、完善和通用。 它能够测量出复杂的现象,能对复杂现象的变化进行分析,并可用来分析各个因素对被研究的总和的影响。 借助单个指数,可研究各种因素对一种产品总产量变化的影响,而借助总指数,则可研究各种因素对总产量变化的影响。某种产品的总产量指数,是以报告期的总产量与基期总产量的相比计算的,其关系式是:  式中: iз——某种产品总产量的单个指数; По——报告期的播种面积; уо——报告期某种产品的单位面积产量; Пб、Уб——基期的播种面积和某种产品的单位面积产量。 为了说明各种作物总产量的变化,可按照上式计算其总指数,只用各种作物的总产量来代替某一种产品的总产量。 结构固定的单位面积产量指数(iуф),可用来说明单位面积产量变化对总产量增长的影响:  播种面积数量指数(iп),可用以说明播种面积变化对总产量的影响:  总产量的增长速度,也是由播种面积结构决定的。 在播种面积结构中,高产作物的比重越大,总产量的增长速度越高。 结构指数(iс),可用以说明播种面积结构对总产量的影响,其计算公式是:  结构指数大于一,说明对研究的总和的积极影响;而结构指数小于一,则说明对研究的总和的消极影响。 为了检验所计算的各个因素对总产值增长(iвп)影响的准确性,可利用下公式: iвп=iуф×iп×iс 在分析过程中,可挖掘出增加总产值生产的潜力,进而拟定出实施的具体办法。总产值分析对揭示农业生产和工业生产的发展趋势,均有著重要的意义。 |