网站首页  词典首页


请输入您要查询的字词:

 

字词 心叶宽筋藤
类别 中英文字词句释义及详细解析
释义 心叶宽筋藤

【名称出处】:《中国民族药志》

【概况】:

基源 为防己科青牛胆属植物心叶青牛胆的茎或叶。

原植物 心叶青牛胆Tinospora cordifolia(Willd)Hook.f.et Thoms

形态 落叶缠绕肉质藤本,多分枝,嫩时被灰白色柔毛,老时茎的表面光滑或具皱纹,当在高处折断时,断口上方附近的皮孔即发生条状气生根伸出著地而继续生长。单叶互生,叶面光滑,厚纸质,阔卵形或近圆形,长1~20cm,宽5.5~15cm,基部心形,先端渐尖,全缘,基出脉5~7;叶柄长3~10cm,被柔毛。

总状花序腋生或著于生老干上,长于叶片;单性,花小,黄色,花萼6,近圆形,2列,膜质,内层的较大;花瓣6;雄花雄蕊6,花丝顶端增厚,药室斜著;雌花退化雌蕊6,棒状,子房3室,柱头具摺。果序长约10cm,核果豌豆大,红色。

种子长约5mm,半球形,胚乳腹面嚼烂状,子叶椭圆形,长4mm。花期11~12月,果期翌年1~3月。

生境与分布 生于山谷较阴湿的溪边、林中、常附生于乔木上。分布于印度北部、不丹、孟加拉。

。【化学】:

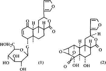
茎含多种二萜成分:心叶青牛胆内酯(Tinosporide)、心叶青牛胆甙(Tinosporaside)(1)、非洲防己内酯(Columbin,Tinosporin)[1~3]、异-6-羟基阿肯格里素(Epimer of 6-hydroxyarcangelisin)[4](2)、心叶青牛胆弗内酯(Cordifolide)等,另含酚性木脂素3-(2,4-二羟基-3-甲氧基苯甲基)-4-(4-羟基-3-甲氧基苯甲基)四氢呋喃〔3-(2,4-Dihydroxy-3-methoxybenzyl)-4-(4-hydroxy-3-Methoxybenzyl)tetrahydrofuran)〕、二十八烷醇、二十烷-15-酮、β-谷甾醇等[5],生物碱成分有:木兰碱(Magnoflonne)、特贝塔碱(Tembetarine)[6]

参考文献 [1] CA 1980;93:72009c [2] Phytochemistry 1989;28(1):273 [3] CA 1989;111:195164x [4] J Nat Prod 1988;51(2):197 [5] J Chem Sa Perkin Trans I 1986;(7):1181 [6] CA 1981;95;3352p

【药性】:

功效 祛风除湿,接筋续骨,拔毒。

主治 风湿疼痛,跌打、骨折,蛇咬、狗咬。

用法用量 内服:煎汤,15~30g。外用:鲜品捣或干粉水调敷。

随便看

 

离鸟网收录3541549条中英文词条,其功能与新华字典、现代汉语词典、牛津高阶英汉词典等各类中英文词典类似,基本涵盖了全部常用中英文字词句的读音、释义及用法,是语言学习和写作的有利工具。

 

Copyright © 2004-2024 vtrois.com All Rights Reserved
更新时间:2026/4/17 19:12:59